MATHGRAM

主に数学とプログラミング、時々趣味について。

2016-02-17から1日間の記事一覧

python: 二次元正規分布の周辺化

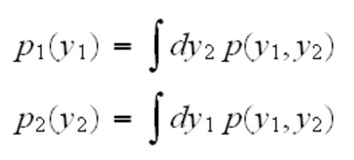
”ブログを更新してない” == ”実装の練習をしてない” もっと更新しないといかんですな。今回はUdemyで配信されてる授業、"ベイズ推定とグラフィカルモデル"からの練習。 周辺化 周辺化(Marginalization)とは、 パラメータごとに積分を行い、パラメータの数を…